首先,為了便于后續電機原理說明,我們來回顧一下有關電流、磁場和力的基本定律/法則。雖然有一種懷舊的感覺,但如果平時不常使用磁性元器件,就很容易忘記這些知識。


作用于邊a、c部分的力F為:


以相同的方式考慮c部分,則轉矩加倍,并生成由以下公式計算出來的轉矩:

由于矩形的面積為S=h?l,因此將其代入上述公式可得出以下結果:

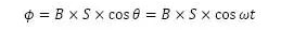
電機的發電原理 1、電機的發電作用 如前所述,電機的發電依賴于電磁感應。以下是相關定律(法則)和發電作用的圖示。 2、發電原理詳解 假設面積為S(=l×h)的線圈在均勻磁場中以ω的角速度旋轉。 此時,假設線圈表面的平行方向(中間圖中的黃線)和相對于磁通密度方向的垂直線(黑色虛線)形成角度為θ(=ωt),則穿透線圈的磁通量Φ由下式表示:
如上所述,電機是將電能轉換為動力的設備,可以通過利用磁場和電流相互作用所產生的力來實現旋轉運動。其實,反之,電機也能夠通過電磁感應將機械能(運動)轉換為電能。換個角度說,電機具有發電作用。提到發電,您可能就會想到發電機(也稱為“Dynamo”、“Alternator”、“Generator”、“交流發電機”等),但是其原理與電機相同,并且基本結構相似。簡而言之,電機可以通過使電流流經引腳而獲得旋轉運動,相反,當電機的軸旋轉時,在引腳之間會有電流流過。
中間的圖和右圖表示按照法拉第定律和楞次定律,當磁鐵(磁通)靠近或遠離線圈時,電流沿不同的方向流動。
我們將在此基礎上來解釋發電原理。


這樣,電機就具備了發電作用。我在這里說明的是電機具有旋轉動作和發電作用,并不意味著要將電機用于發電。如果要發電,通常使用專為發電進行了優化的發電機。